Влияние имплантатов на состояние периапикальных тканей в области соседних зубов: систематический обзор и мета-анализ
Выводы: Естественный зуб, прилегающий к имплантату, имеет в 2,12 раза более высокую вероятность развития ПД по сравнению с зубом, прилегающим к другим зубам. Общее качество доказательств было низким. (J Endod 2024;50:1705–1713.)
Ключевые слова: Имплантаты; периапикальный дефект; систематический обзор
Значимость: Риск развития периапикальных дефектов в 2,12 раза выше в зубах, расположенных рядом с имплантатами, по сравнению с зубами у пациентов без имплантатов в полости рта.
Непрерывный прогресс в дентальной имплантологии сыграл ключевую роль в том, что имплантация стала предсказуемым и успешным вариантом реабилитации полости рта у пациентов с частичной адентией. Исследования показали, что средняя выживаемость одиночных коронок с опорой на имплантат составила 94,6% в течение 13,4 лет наблюдения (1).
Еще одним осложнением имплантации зубов является потенциальный риск переломов соседних естественных зубов. Часто врачи уменьшают окклюзионный размер имплантатов, чтобы уменьшить окклюзионную нагрузку. Это позволяет минимизировать нагрузку на имплантат при прикусывании, но компенсирует повышенную окклюзионную нагрузку на соседние зубы. Это, в свою очередь, может привести к повышенному риску образования трещин и переломов рядом стоящих зубов (6).
Одним из наиболее распространенных осложнений после установки имплантата является потеря апроксимального контакта между коронкой имплантата и естественным зубом. Было отмечено, что через 10 лет примерно у 50% имплантатов была по крайней мере одна точка контакта (2). Возникающая в результате этого потеря контакта способствует прилипанию пищи, что повышает риск развития кариеса зубов рядом стоящих зубов(2,3). В то время как только у 7,4% зубов развивается кариес, когда расстояние между имплантатом и зубом находится в непосредственной близости (0-1,9 мм), оно увеличивается почти в шесть раз и достигает 40%, когда расстояние превышает 6 мм (4). Из-за этих рисков Park и соавторы обнаружили, что почти каждый пятый (19,4%) зуб, прилегающий к имплантатам, нуждается в лечении, а более чем 1 из 10 (12,5%) - в удалении (5).
Предыдущие исследования были в основном посвящены выживаемости и успешному использованию имплантатов. Однако лишь немногие из них оценивали влияние имплантатов на периапикальное состояние соседних зубов. Целью данного исследования был систематический обзор опубликованных клинических исследований по оценке относительного риска возникновения периапикальных дефектов зубов, прилегающих к имплантатам.
Методы: MEDLINE (PubMed), Embase, Cochrane Library был проведен поиск литературы (начало ноября 2023 г.) для выявления исследований. Были отобраны подходящие исследования и извлечены данные. Исследования были оценены по критериям на предмет риска необъективности и качества доказательств. Был проведен количественный анализ, чтобы определить общую оценку периапикальных дефектов (ПД) в зубах, прилегающих к имплантатам, и оценить относительный риск развития таких поражений в этих зубах по сравнению с зубами, прилегающими к другим зубам.
Резюме:
Введение: Целью данного систематического обзора была оценка относительных рисков возникновения периапикальных патологий естественных зубов, расположенных рядом с имплантатами.
Результаты: Всего было проведено 6 исследований. Суммарная оценка риска развития ПД в зубах, прилегающих к имплантату, составила 2,55%. Соотношение риска развития ПД в зубе, прилегающем к имплантату, по сравнению с зубом, прилегающим к другим зубам, составило 2,12. Анализы показали низкую достоверность доказательств.
Материалы и методы
Для публикации нашей методологии и результатов были использованы предпочтительные элементы отчетности для систематических обзоров и мета-анализов. Обзор был зарегистрирован в международной базе данных проспективно зарегистрированных систематических обзоров с результатами, связанными со здоровьем, под номером 487391.
Критерии отбора были определены следующим образом:
  1. Популяция: естественные зубы, расположенные рядом с имплантатами.
  2. Вмешательство: коронки с опорой на имплантаты.
  3. Сравнение: естественные зубы с противоположной стороны.
  4. Результаты: обобщенная оценка и относительный риск возникновения периапикальных дефектов естественных зубов, прилегающих к имплантату.
  5. Дизайн исследования: рандомизированные контролируемые исследования, проспективные исследования, ретроспективные исследования, перекрестные исследования.
Приемлемые исследования должны включать рентгенографический критерий, показывающий периапикальный дефект (ПД) с помощью рентгенограмм или конусно-лучевой компьютерной томографии, с минимальным периодом наблюдения в 12 месяцев. Мы исключили исследования, посвященные прорезыванию молочных зубов, нерелевантные или противоречивые проекты исследований с коротким периодом наблюдения, исследования повреждений соседних зубов, вызванных имплантацией, статьи, описывающие клинические методы, отчеты о случаях, исследования на животных, исследования ex vivo или in vitro, обзорные статьи, письма и статьи с общественным мнением.
Методы определения исследований
Три независимых эксперта под руководством библиотекаря определили условия поиска, которые включали периапикальный статус всех постоянных зубов, прилегающих к имплантатам. Условия поиска или эквивалентные термины MeSH были использованы для поиска в трех основных электронных базах данных: PubMed, Web of Science и Embase с момента создания и до ноября 2023 года, чтобы выявить соответствующие исследования, соответствующие критериям включения (рис. 1). Поиск также был завершен в gray literature с помощью Google Scholar и ProQuest Dissertations and Theses. Был проведен ручной поиск по списку литературы в соответствующих статьях и главах книги. Все выявленные исследования были импортированы и систематизированы в библиографическом программном обеспечении (Endnote X9; Thomson Reuters, New York, NY). Дублирующиеся записи были удалены.
Рисунок 1 - схема отбора исследований
Отбор и извлечение данных
Два эксперта (М.S. и H.К.) независимо друг от друга сначала проверили исследования по аннотациям, а затем сузили круг исследований, изучив полные тексты. Эксперты совместно оценили первые 15 исследований и проконсультировались с третьим экспертом (R.P.) для устранения разногласий. Причины исключения были указаны на этапе подготовки полного текста (таблица 1).
Следующая информация была получена из каждого включенного исследования и сведена в стандартную электронную таблицу Excel (Microsoft, Redmond, WA):
  1. Тип исследования, год публикации, количество центров и период набора персонала.
  2. Демографические данные участников, включая средний возраст и тип исследуемой популяции.
  3. Общее количество зубов, прилегающих к имплантату, и количество зубов с периапикальным дефектом и без него.
  4. Продолжительность последующих посещений.
  5. Подробная информация о результатах, включая методы оценки.
Два эксперта (М.S. и H.К.) независимо друг от друга проверили точность извлечения данных.
Таблица 1 - Исключенные статьи и причины исключения
Оценка риска необъективности
Два эксперта независимо друг от друга оценили риск необъективности, используя шкалу Ньюкасла-Оттавы (НО) для оценки ретроспективных и проспективных когортных исследований. Разногласия были устранены путем консультаций с третьим экспертом (R.P.). НО оценивает каждое исследование с трех точек зрения: отбор, сопоставимость и представляющий интерес результат. За каждое исследование присуждаются звезды: максимум 4 звезды за отбор, 2 звезды за сопоставимость и 3 звезды за интересующий результат. Согласно НО, исследование самого высокого качества оценивается максимум в 9 баллов (13–15). Исследования, набравшие 4 балла были отнесены к категории "высокий риск необъективности", 5-6 баллов были отнесены к категории "умеренный риск необъективности", а более 7 баллов были отнесены к категории "низкий риск необъективности" (16).
Рисунок 2 – Оценка риска необъективности с использованием шкалы Ньюкасла-Оттавы (НО).
Качество фактических данных
Качество фактических данных оценивалось с использованием классификации рекомендаций, оценок, разработок и обобщения (GRADEpro GDT: Руководство GRADEpro Инструмент разработки; McMaster University, Hamilton, ON, Canada) для объективной оценки качества анализа результатов (17). Два эксперта (М.S. и H.К.) оценили качество доказательств на основе рассмотрения 5 областей: риск необъективности, несогласованность результатов, косвенность доказательств, неточность и необъективность публикации. Разногласия были разрешены путем консультаций с третьим экспертом для достижения консенсуса.
Количественный анализ
Мы обобщили данные о количестве зубов, на которых было проведено исследование (ПД), и об общем количестве оцененных зубов, прилегающих к имплантатам. Процесс отбора для исследования представлен на рисунке 1. Данные были проанализированы с учетом двух различных целей. Первой целью было рассчитать суммарную оценку ПД на соседних зубах после установки имплантата. Неоднородность исследований оценивалась с использованием статистики I2. Статистическую неоднородность оценивали с использованием статистики Кохрэна I2, при этом 25% соответствовали низкой неоднородности, 50% - средней неоднородности и 75% - высокой неоднородности. Модель анализа со случайными эффектами была использована для I2 > 50% (19,20).
Учитывая высокую неоднородность материалов, для оценки результатов исследований была использована модель случайных эффектов. Мета-регрессия также использовалась для оценки изменений процентного содержания ПД в зубах, прилегающих к имплантатам. Команда с использованием модели случайных эффектов была применена для расчета общей распространенности ПД в соседних зубах после установки имплантата с 95% доверительным интервалом (ДИ). Затем для оценки достоверности публикации были использованы тест Эггера и воронкообразный график.
Вторая цель состояла в том, чтобы оценить влияние имплантатов на вероятность развития кариеса у соседних зубов. Коэффициент риска (КР) и суммарное отношение шансов были рассчитаны на основе модели фиксированного эффекта для каждого исследования. Из-за низкой гетерогенности мета-регрессия не применялась. Все данные были проанализированы с использованием программного обеспечения Stata 16.0 (College Station, Texas, USA) и уровень значимости был установлен на уровне 0.05.
Результаты
Результаты исследования
Первоначально в результатах исследования в различных базах данных, включая PubMed, Web of Science и Embase, было обнаружено в общей сложности 1013 записей. После удаления 379 дублирующихся статей 611 исследований были исключены на основе анализа названий и аннотаций. 17 исследований (21–37) были исключены после полного анализа текста. Причины исключения 17 исследований приведены в таблице 1. В общей сложности 6 исследований соответствовали критериям включения для оценки качества и окончательного анализа. 6 включенных исследований были проведены в Португалии (7), Японии (8,9), Турции (10), Австрии (11) и Соединенных Штатах (12).
Рисунок 3 – Качество фактических данных, оцененное с использованием градации параметров рекомендации, оценки, разработки и оценивания.
Таблица 2 - Характеристики включенных исследований
Характеристика исследования
Популяция
В 6 исследованиях с 7 по 12 оценивалось состояние апикальной поверхности корней естественных зубов, прилегающих к имплантатам, после их установки. Результаты включенных исследований представлены в таблице 2. Всего было обследовано 2088 зубов, прилегающих к имплантатам, и 22549 зубов, прилегающих к другим зубам. Травмы соседних зубов, вызванные имплантацией, были исключены.
Манипуляции
В ходе исследований изучалось периапикальное состояние соседних зубов после установки имплантатов. В 3 из 6 исследований при оценке состояния соседних зубов (10-12) были выбраны только имплантаты в области боковой группы. В оставшихся 3 исследованиях оценивались все зубы, расположенные рядом с имплантатами, независимо от их расположения (7–9).
Оценка результатов
Состояние периапикальной области соседних зубов оценивалось рентгенологически с помощью обычных рентгенограмм или конусно-лучевой компьютерной томографии. Рентгенологические результаты включали распространенность периапикального дефекта и/или показания к эндодонтическому лечению соседних естественных зубов после установки имплантата. Продолжительность периода отзыва каждого исследования варьировалась от 1 года до 17 лет. В трех исследованиях (7,8,10) были включены контрольные зубы, определенные как противоположные, для сравнения с зубами, прилегающими к имплантатам.
Рисунок 4 – График распределения периапикальных радиопрозрачных поражений (PARL - ПД) в процентах во всех включенных исследованиях в соответствии с методом случайных эффектов. Каждое отдельное исследование было продемонстрировано первым автором (год). Средняя точка каждого линейного сегмента показывает процентную оценку, длина линейного сегмента представляет собой 95% доверительный интервал (Cl - ДИ) в каждом исследовании, а ромбовидная метка указывает на объединенные оценки.
Риск необъективности и достоверность оценки доказательств
Каждая область риска необъективности в отдельных исследованиях была оценена, как показано на рисунке 2. 5 исследований (7–11) были классифицированы как умеренный риск необъективности, главным образом в отношении параметров отбора и результатов, и одно исследование было определено как низкий риск необъективности (12). Достоверность доказательств была оценена как низкая после оценки с использованием параметров, как показано на рисунке 3.
Обобщение данных
Основываясь на результатах применения модели случайного эффекта, как показано на рисунке 4, была получена обобщенная оценка распространенности ПД в зубах, прилегающих к имплантатам. Объединенная оценка показывает, что в среднем ПД присутствуют в 2,55% зубов, прилегающих к имплантатам (95% ДИ: от 0 до 10,60) [индекс гетерогенности: I2, 97,61%; P < 0,001]. Также были проанализированы данные для определения коэффициента RR, сравнивающего вероятность развития ПД в зубах, прилегающих к имплантатам, и в зубах без рядом стоящих имплантатов.
Вероятность образования трещин в зубах, прилегающих к имплантатам, была в 2,12 раза выше по сравнению с зубами, прилегающими к другим зубам, о чем свидетельствует ОР составил 2,12 (95% ДИ: от 1,78 до 2,51; n 53; I2, 50%). На рисунке 5 показан участок, иллюстрирующий суммарный показатель наличия ПД в зубах, расположенных рядом с имплантатами. Анализ показал низкую достоверность доказательств (рис. 6).
Рисунок 5 – График соотношения рисков возникновения периапикального дефекта (ПД) в зубе, расположенном рядом с имплантатом по сравнению с зубом, расположенном рядом с другими зубами в соответствии с подходом с фиксированными эффектами. Каждое отдельное исследование было продемонстрировано первым автором (год). Средняя точка каждого линейного сегмента показывает оценку соотношения рисков, длина линейного сегмента представляет собой 95% доверительный интервал (ДИ) в каждом исследовании, а ромбовидная метка указывает на общее соотношение рисков.
Оценка неоднородности
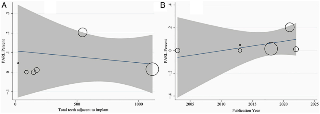
Индекс I2 объединенной оценки, который отражает неоднородность среднего процента ПД в зубах, прилегающих к имплантатам, был высоким и составил 97,61%. Это указывает на то, что примерно 98% различий в этом исследовании можно объяснить подлинными различиями между включенными исследованиями. Для изучения потенциальных источников этой неоднородности был проведен мета-регрессионный анализ. Результаты показали, что общее количество зубов, расположенных рядом с имплантатами (коэффициент: 0,001; Р = .856, рис. 6А) и год публикации (коэффициент: 0,006; Р = .438, рис. 6B) не учитывали различий, обнаруженных в объединенной оценке. Наличие искажений в публикациях также оценивалось с помощью теста Эггера. Результаты показывают, что для объединенной оценки ПД в зубах, прилегающих к имплантатам, статистически значимого искажения в публикациях нет (коэффициент Р = -0,25; P = .877). Рисунок 7 иллюстрирует график результатов в виде воронки для наглядного представления потенциальной предвзятости публикации.
Рисунок 6 – Связь между (А) количеством зубов, прилегающих к имплантату, и (Б) годом публикации с процентом периапикальных дефектов (ПД), полученная с помощью мета-регрессии. Размер круга показывает точность каждого исследования.
Обсуждение
Имплантация превратились в рутинную процедуру, предлагая эффективный вариант замещения отсутствующих зубов. Несмотря на то, что имплантаты имеют высокий процент успеха, они не лишены осложнений. Таким образом, нам было интересно изучить потенциальное влияние установки имплантатов на здоровье соседних зубов, особенно с точки зрения здоровья апикальной части. Этот систематический обзор показал, что после имплантации был установлен ПД соседних зубов примерно на 2,55%, при этом RR составил 2,12 для ПД на зубах, прилегающих к имплантатам, по сравнению с зубами, прилегающим к другим зубам. Другими словами, RR, равный 2,12 означает, что риск возникновения ПД в зубе, расположенном рядом с имплантатом, в 2,12 раза выше, чем риск возникновения ПД в зубе, прилегающем к другим зубам.
Во многих исследованиях изучалась этиология периапикальных дефектов вокруг имплантатов. Однако ни в одном исследовании еще не изучалось состояние периапикальных патологий зубов, прилегающих к имплантатам, после их установки. Хотя точные механизмы неизвестны, существует несколько факторов, которые могут способствовать возникновению феномена, наблюдаемого между имплантатами, и развитию кариеса в соседних зубах. Повышенная восприимчивость зубов, прилегающих к имплантатам, к повреждениям, подчеркивает сложную взаимосвязь между анатомическими особенностями, окклюзионными силами и характеристиками имплантата.
Рисунок 7 – Воронкообразный график для оценки погрешности публикации. Горизонтальная и вертикальная оси представляют процент периапикальных дефектов (PARL - ПД) и стандартную ошибку в процентах соответственно.
Одно из фундаментальных различий между естественными зубами и имплантатами заключается в отсутствии волокон десен и периодонтальной связки в имплантатах. Эти волокна, которые присутствуют только в естественных зубах, способствуют таким важным функциям, как распределение напряжения и проприоцепция (4). Волокна периодонтальной связки также оказывают иммуномодулирующее действие, которое помогает подавлять длительное воспаление и активацию иммунных клеток для поддержания сбалансированной окружающей среды (38). Этот важный внутренний регулирующий механизм отсутствует в имплантатах, и, таким образом, окружающие зубы подвергаются более высоким окклюзионным нагрузкам. Окклюзионная нагрузка, в свою очередь, может негативно сказаться на структурной целостности соседних зубов, делая их более восприимчивыми к таким осложнениям, как трещины (4).
Еще одним фактором, влияющим на окклюзионную нагрузку на соседние зубы, является механизм окклюзии, защищающий имплантат. Эта окклюзионная схема направлена на минимизацию усилий на стыке гребня кости и имплантата (39), чтобы оптимизировать условия для остеоинтеграции (40,17). Однако неотъемлемой проблемой этой идеологии является перераспределение сил на соседние зубы (41). Коронки для имплантатов изготавливаются с небольшой окклюзионной площадкой, что увеличивает нагрузку на соседние зубы и создает повышенный риск развития трещин (2,41).
Зубы, расположенные рядом с имплантатами, подвержены не только большей вероятности образования трещин, но и повышенному риску образования кариеса. В зубах, прилегающих к имплантатам, отмечена высокая частота кариеса апроксимальных отделов, пришеечной области и корня зуба (5). Важным фактором, повышающим риск развития кариеса на соседних зубах, является потеря апроксимального контакта, которая наблюдается в 34-66% случаев после имплантации (42). Исследования показали, что промежутки между зубами образуются уже через 3 месяца после установки имплантата, причем чаще всего они возникают в мезиальной части коронки имплантата (42,43).
Трещины могут распространяться на эмаль, дентин и даже на структуру корня. Впоследствии эти трещины могут нарушить жизнеспособность пульпы зуба, что в конечном итоге приводит к некрозу пульпы и периапикальным патологиям. Одно исследование показало, что у 41% пациентов с трещинами на зубах были диагностированы после установки имплантатов, при этом 27% имплантатов располагались рядом с трещинами на зубах (4). Эта повышенная подверженность трещинам в зубах, прилегающих к имплантатам, может дать представление о повышенном риске образования трещин в соседних с имплантатами зубах, о чем говорится в этом систематическом обзоре.
Кроме того, повышенная подверженность образования кариеса частично объясняется тем, что диаметр имплантата, как правило, меньше диаметра отсутствующего зуба. Размер имплантата и его круглая форма не полностью повторяют анатомию естественного зуба. Следовательно, это создает значительную область десневой щели между платформой имплантата и соседним зубом, что увеличивает вероятность попадания пищи и повышенный риск развития кариеса (5). Все эти факторы могут способствовать развитию периапикальных патологий в зубах, расположенных рядом с имплантатами.
Это исследование имеет большое значение для планирования имплантации и подчеркивает важность тщательного наблюдения за зубами, прилегающими к имплантатам, для выявления потенциального кариеса и трещин. Необходим комплексный подход к использованию имплантатов для восстановления отсутствующих зубов, одновременно уделяя внимание здоровью соседних зубов.
Также важно признать, что на интерпретацию результатов сильно повлияли выводы Baruwa и соавторов. В этом исследовании была представлена большая выборка изученных зубов, что в значительной степени повлияло на статистические выводы. Зависимость от результатов Baruwa и соавторов подчеркивает потенциальные ограничения этого систематического обзора и еще раз подчеркивает необходимость проведения дополнительных исследований, дополняющих наши текущие знания.
Хотя результаты этого систематического обзора дают представление о влиянии имплантатов на периапикальное состояние соседних зубов, необходимы дальнейшие исследования для изучения причинно-следственных механизмов и уточнения оценки рисков в имплантологической стоматологии. Из 6 включенных исследований было проведено 4 ретроспективных исследования, 1 перекрестное исследование и 1 проспективное исследование. Эти наблюдательные исследования считаются более низкими в иерархии доказательств, поскольку они могут быть более подвержены предвзятости и путанице. Таким образом, необходимы рандомизированные контролируемые исследования, чтобы получить полное представление о взаимосвязи между имплантатами и ПД в соседних зубах.
Заключение
Это исследование показало, что приблизительно у 2,55% соседних зубов после установки имплантата наблюдался ПД, при этом ПД в зубах, прилегающих к имплантатам, составил 2,12 по сравнению с зубами, расположенными рядом с другими зубами. Зубы, прилегающие к имплантатам, могут быть более подвержены риску развития ПД из-за повышенной вероятности возникновения кариеса и повышенной восприимчивости к образованию трещин. Однако в существующей литературе отсутствуют исследования высокого уровня, и поэтому в будущем необходимы рандомизированные клинические испытания и более проспективные исследования с большим объемом выборки, чтобы полностью оценить риск развития ПД в соседних зубах после установки имплантата.